Page 1432 - 《鹿城区志》
P. 1432
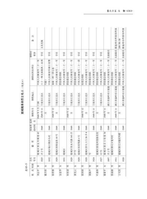
. 1312 . 温州市鹿城区志 卷六十五 人 物 . 1313 .
曾用名陈国华、钱玉 又名玉英,二次立四等
备 注 备 注 又名光锡 据温州市档案馆档案 109-50-30 据温州市档案馆档案
牺牲时 职务 组长 队员 梅 组长 团员 工作人员 战士 功 战士 战士 学员 正驾驶 船员 战士 学员 牺牲时 职务 学员 学员 学员 学员 学员 学员 学员 学员 学员 支前船员 支前船员 支前船员
牺牲时所在单位 中共浙南特委机关青训 苏中二地委社会部南京 第三野战军第一纵队一 师一团三营一连骑兵组 三野一纵二师文工团 浙南游击纵队 中国人民解放军第十二 军三十四师一○○团 浙南游击纵队藤桥区中 中国人民解放军二十一 军六十三师后方勤务处 中国人民解放军二十一 军供给部会训队 中国人民解放军二十一 军六十一师支前船队 (永和汽船) 牺牲时所在单位 中国人民解放军二十一军 六十一师支前船队(永和 中国人民解放军浙江省警 中国人民解放军二十一军 中国人民解放军二十一军 中国人民解放军二十一军 中国人民解放军二十一供 中国人民解放军二十一军 中国人民解放军二十一军 中国人民解放军二十一军 中国人民解放军二十一军 中国人民解放军二十一军 中国人民解放军二十一军
3) 班 本村党支部 情报工作组 闽北游击队 队 4) 汽船) 备旅一团三营七连 供给部会训队 供给部会训队 供给部会训队 给部会训队 供给部会训队 供给部会训队 供给部会训队 供给部会训队 供给部会训队
(续表 (续表
Ӭ۪ࠡଁਛൖ 牺牲地点 河北省平山地方 12 年 瓯海区西岸乡下连坑地方 上海市宋公园 12 年 福建省南平县 11 年 山东省沙河 江苏省睢宁县潘塘镇 年 瓯海区瞿溪桥头 月浙江省永康县 1 年 月 5 年 鹿城区临江镇 永嘉县桐岭脚 年 浙江省宁海县七家村洋面 11 年 浙江省宁海县七家村洋面 11 年 年 月浙江省宁海县七家村洋面 5 年 浙江省丽水市青田县石 Ӭ۪ࠡଁਛൖ 牺牲地点 月 5 门洞 11 年 宁波市江北区 宁波市江北区 12 年 宁波市江北区 宁波市江北区 12 年 宁波市江北区 宁波市江北区 12 年 宁波市江北区 11 年 宁波市江北区 宁波市江北区 11 年 浙江省温岭市江厦港 11 年 浙江省温岭市江厦港 浙江省温岭市江厦港
党团员 牺牲年月 1946 党员 月 党员 1946 党员 月 1947 月 党员 党员 1947 1948 1948 1948 1948 月 1948 月 1949 1949 党团 牺牲年月 员 年 1949 1949 月 1949 月 1949 月 1949 月 1949 月 1949 月 1949 月
参加革 命时间 1946 1938 1946 1945 1945 1942 1948 1946 1949 1949 1949 1949 1949 1949 参加革 命时间 1949 1949 1949 1949 1949 1949 1949 1949 1949 1949 1949 1949
22 号 11 号 22 82 号 26 43 号 10 弄 163 号 4 8 弄 20 34
鹿城区双潮乡西坑村 鹿城区原天妃宫巷 鹿城区原仓坦 鹿城区藤桥镇 鹿城区原九星殿巷 鹿城区原康宁巷 鹿城区原温瑞北路 鹿城区原铁井栏街 鹿城区原水窟头 鹿城区原瓦市殿巷 弄2号 鹿城区临江镇沙头村 鹿城区原珠冠巷 鹿城区 鹿城区原永川路 号 鹿城区原育英路 鹿城区原大士门 号 鹿城区原吉士坊巷 弄2号 鹿城区仰义乡笼川村
籍 贯 10 鹿城区原东门育英路 12 鹿城区岙底乡小岙儿村 籍 贯 鹿城区原沧河巷扬名坊 鹿城区仰义乡陈村外桥
出生 时间 1906 1924 号 1929 1902 1925 1920 1930 号 1925 号 1902 1927 号 1908 1918 1925 1926 出生 年月 1925 1932 1929 1931 1929 27 1929 1929 号 1924 12 1927 1897 1911 1920
65-5 性别 男 男 女 男 女 男 男 男 男 男 男 男 男 65-5 性别 男 女 男 女 男 女 男 男 男 女 男 男
表 表
姓 名 徐培云 徐植芳 陈玉梅 卢洪良 金 瑛 汪瑞龙 吴金生 高明魁 李本元 陈 艾 叶岩贤 金鸿钦 虞绍兴 姓 名 刘志平 戴月珍 徐世康 金连华 何育清 黄克云 张国梁 黄振声 叶森和 廖素平 张福康 王可洪

